Ответы
Ответ дал:
1
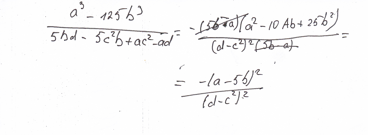
спишите с фота там все коротко и ясно
Приложения:

Вас заинтересует
2 года назад
2 года назад
2 года назад