• Предмет: Алгебра
  • Автор: Dashaandree2806
  • Вопрос задан 2 года назад

Помогите решить пожалуйста

Приложения:

Ответы

Ответ дал: RozinaSacha
1
Пример со второго фото: 2y-9y^2=0; y (2-9y)=0; y=0 или 2-9у=0 ; 9у=2;у=2/9
Приложения:
Ответ дал: kat20030304
1
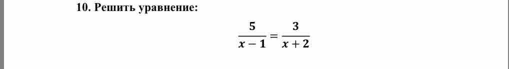
5/(х-1)=3/(х+2) решим способом пропорции. Тогда произведение крайних членов равно произведению средних. Значит 5(х+2)=3(х-1) .... 5х+10=3х-3 5х-3х=-10+3. 2х=-7. Х=-3,5. Второе 2у-9у2=0 У=0, т.к. Чтобы в ответе получился 0, надо чтоб один из множителей был равен 0. Вродь правильно
Вас заинтересует