Ответы
Ответ дал:
1
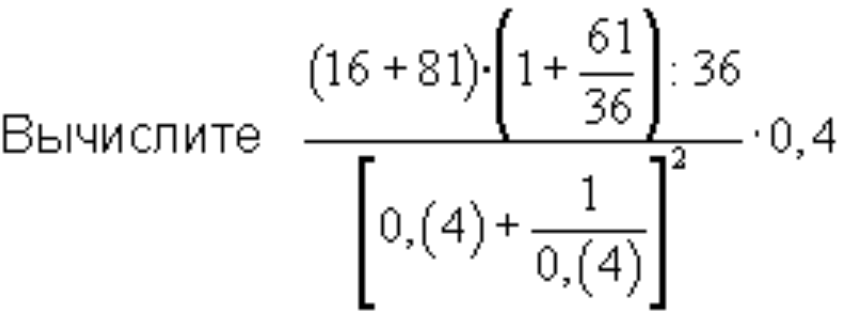
Ответ на фото
.............................
Не решил 3 рисунок, он не понятный
...........................................................
.............................
Не решил 3 рисунок, он не понятный
...........................................................
Приложения:
Лидуся1:
а остальные?
Ответ дал:
1
решение прилагается на фото
Приложения:
а остальные?
Вас заинтересует
2 года назад
2 года назад
7 лет назад
7 лет назад
9 лет назад