Ответы
Ответ дал:
0
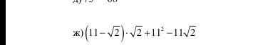
( 11 - "корень_из_2" ) *
"корень_из_2" + "11_в квадрате" - 11 * "корень_из_2" =
11 * "корень_из_2" - 2 + 121 - 11 * "корень_из_2" = 0 - 2 + 121 = 123.
1) Раскрываем скобки и получаем 11 * "корень_из_2" и просто "двойку" при умножении "корень_из_2" на самого себя.
2) "11_в_квадрате" равно 121.
3) 11 * "корень_из_2" минус 11 * "корень_из_2" получаем "0".
4) 2 плюс 121 = 123.
Конец решения.
1) Раскрываем скобки и получаем 11 * "корень_из_2" и просто "двойку" при умножении "корень_из_2" на самого себя.
2) "11_в_квадрате" равно 121.
3) 11 * "корень_из_2" минус 11 * "корень_из_2" получаем "0".
4) 2 плюс 121 = 123.
Конец решения.
Вас заинтересует
2 года назад
2 года назад
2 года назад
2 года назад
7 лет назад
9 лет назад