• Предмет: Математика
  • Автор: pcgamer
  • Вопрос задан 3 года назад

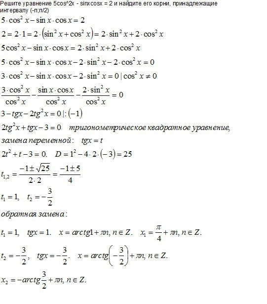
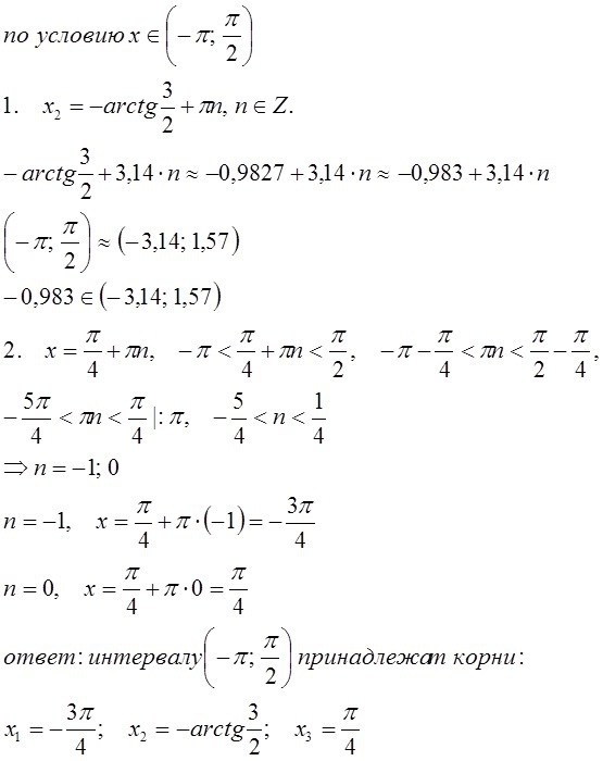
Решите уравнение 5cos^2x - sinxcosx = 2 и найдите его корни, принадлежащие интервалу (-п;п/2)

Ответы

Ответ дал: kirichekov
17
решение во вложении--------------------
Приложения:
Вас заинтересует