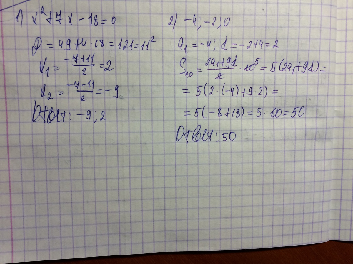
1.Найдите корни уравнения:
x^2+7x-18=0
2.Дана арифметическая прогрессия -4; -2; 0;...
Найдите сумму первых десяти её членов.
Помогите пожалуйста!!!
Заранее спасибо)
Ответы
Ответ дал:
0
Ответ на фото
.................................
.................................
Приложения:

Вас заинтересует
2 года назад
2 года назад
2 года назад
2 года назад
7 лет назад
7 лет назад
9 лет назад