• Предмет: Алгебра
  • Автор: Kruiz
  • Вопрос задан 11 лет назад

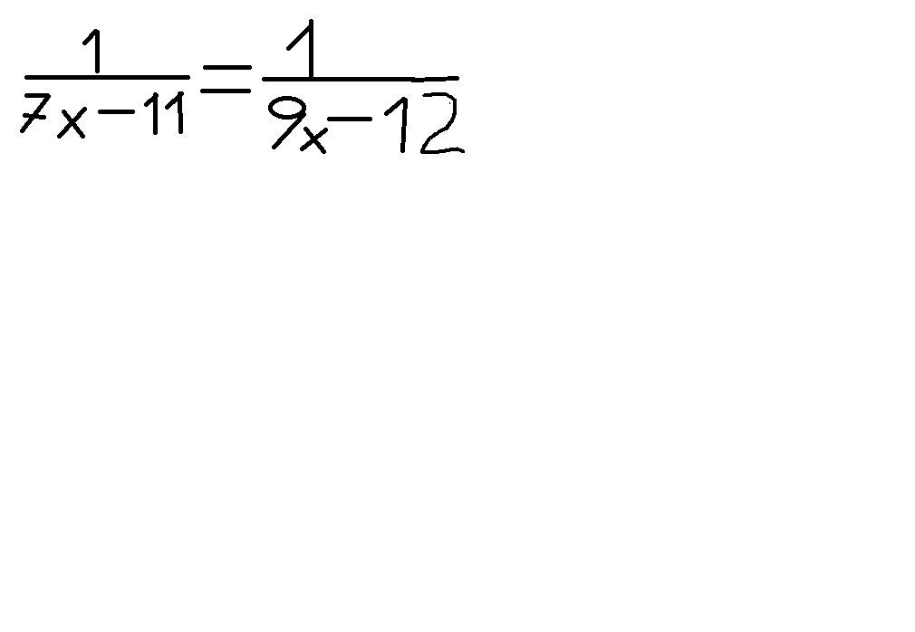
решите уравнение 1/7х-11=1/9х-12

Приложения:

Ответы

Ответ дал: словат
0

1/7х-11=1/9х-12
9/63х-11=7/63х-12
9/63х-7/63х=-12+11
2/63х=-1
х=-1:2/63
х=-31.5
Ответ:-31.5

Вас заинтересует