• Предмет: Алгебра
  • Автор: Аноним
  • Вопрос задан 3 года назад

ПОМОГИТЕ ПОЖАЛУЙСТА!!! 1 ПРИМЕР НА ВЫБОР

Приложения:

Ответы

Ответ дал: Аноним
1
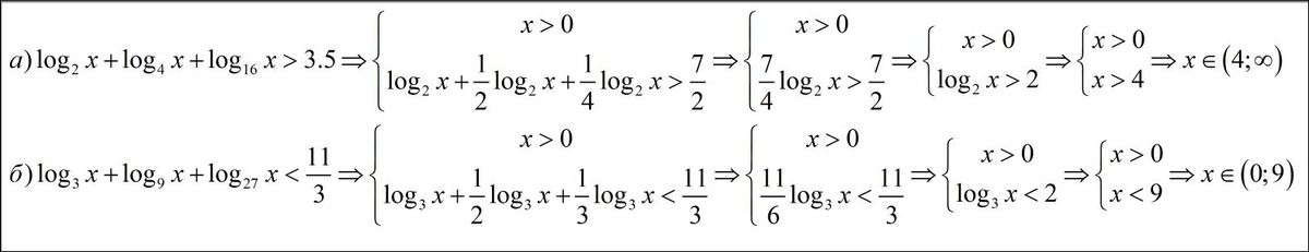
решение смотри во вложении................
Приложения:

Аноним: где ответы нашел?) подскажи
Аноним: сам решил
Аноним: ага, каким образом написал таким шрифтом ?
Вас заинтересует