• Предмет: Геометрия
  • Автор: deapolice
  • Вопрос задан 3 года назад

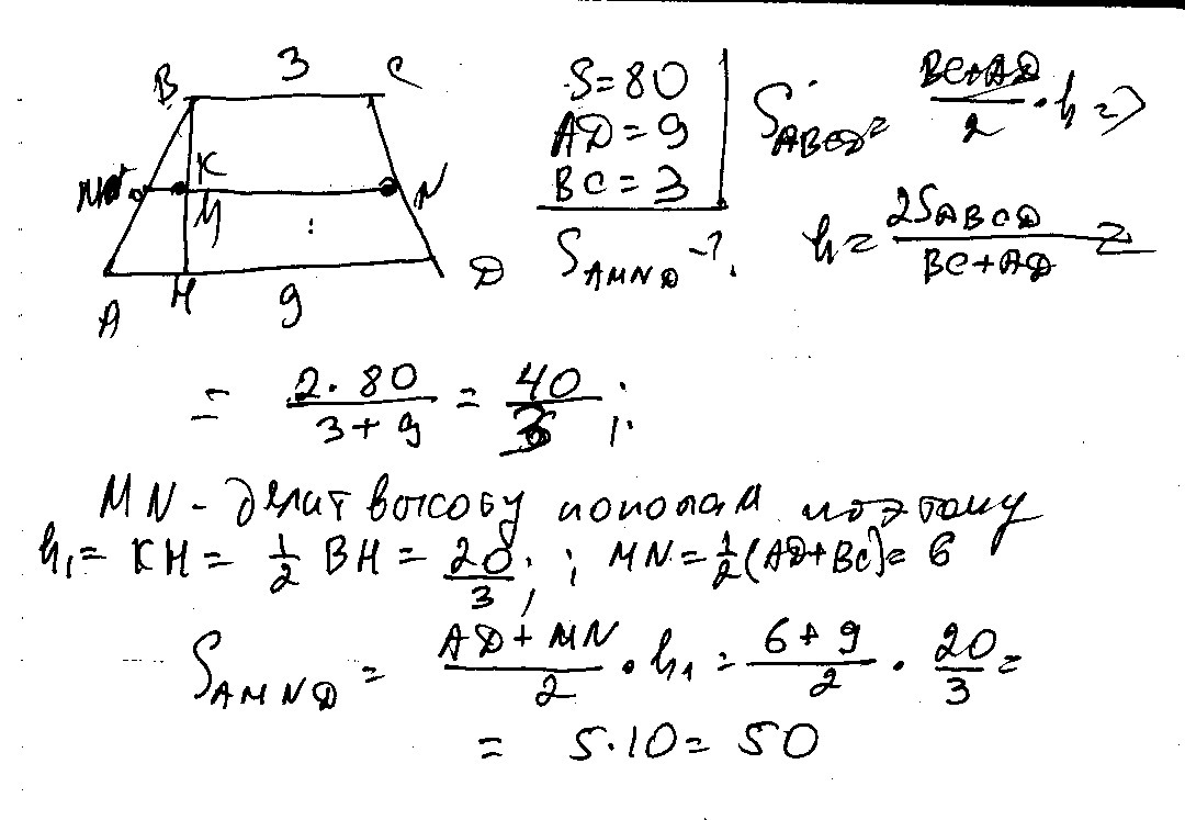
В трапеции abcd: ad=9, bc=3 а ее площадь равна 80. Найти площадь трапеции BCNM,где MN - cредняя линия трапеции ABCD.


dobryajalizka: AD DC - основания?
deapolice: AD и BC
dobryajalizka: да)

Ответы

Ответ дал: ужнеужели
8
В трапеции abcd: ad=9, bc=3 а ее площадь равна 80. Найти площадь трапеции BCNM,где MN - cредняя линия трапеции ABCD.
Приложения:
Вас заинтересует