Задача на сообразительность:Длина доски равна 1,84 м,доску одним краем оторвали от земли, образовался угол (между доской и землей) в 36 градусов, на какую высоту нужно поднять доску,
чтобы получился угол в 36 градусов??Как в данном случае?)Помогите, пожалуйста!!!)
Ответы
Ответ дал:
0
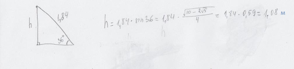
решение в приложении:
Ответ: доску надо поднять на 1,08 м
P.s. sin 36 смотрим в таблице Брадиса или высчитываем через снус суммы аргументов
Ответ: доску надо поднять на 1,08 м
P.s. sin 36 смотрим в таблице Брадиса или высчитываем через снус суммы аргументов
Приложения:
Вас заинтересует
2 года назад
2 года назад
2 года назад
2 года назад
7 лет назад
7 лет назад
9 лет назад