Решите задачу очень надо решите уравненеем
Среднее арифметическое девяти последовательно чисел равна девяти.Какие это числа
jekadva:
5,6,7,8,9,10,11,12,13
Ответы
Ответ дал:
1
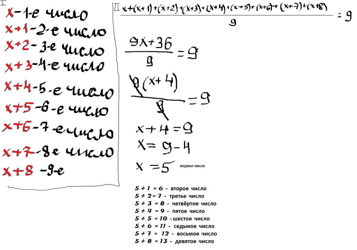
(x+(x+1)+(x+2)+(x+3)+(x+4)+(x+5)+(x+6)+(x+7)+(x+8)):9=9
(9x+36):9=9
9x+36=81
9x=81-36
9x=45
x=5
5 6 7 8 9 10 11 12 13
(9x+36):9=9
9x+36=81
9x=81-36
9x=45
x=5
5 6 7 8 9 10 11 12 13
Ответ дал:
0
Надеюсь, что понятно расписала. Сверху пишем как при помощи х мы выразили эти 9 чисел. А потом само решение.
Удачи в решениях!
Darknight (Sunny Storm)
Удачи в решениях!
Darknight (Sunny Storm)
Приложения:

Вас заинтересует
2 года назад
2 года назад
2 года назад
2 года назад
7 лет назад
7 лет назад
9 лет назад