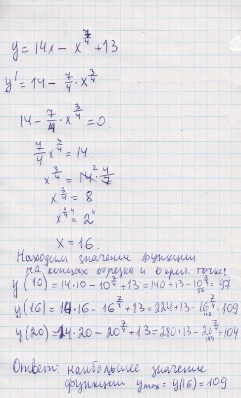
Найдите наибольшее значение функции y=14x-x*.....+13 на отрезке [10;20] (5 задание внутри)
Приложения:

Ответы
Ответ дал:
7
решение в приложении:
Приложения:

Вас заинтересует
2 года назад
2 года назад
2 года назад
2 года назад
7 лет назад
7 лет назад