Ответы
Ответ дал:
2
Программа на условном языке такая
Начало
Ввод x
y = 1
Цикл по i от 1 до 5
y = y + x^i / (2*i)
Конец цикла
Вывод y
Конец.
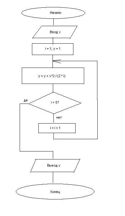
Алгоритм нетрудно нарисовать. Прикладываю рисунок.
Начало
Ввод x
y = 1
Цикл по i от 1 до 5
y = y + x^i / (2*i)
Конец цикла
Вывод y
Конец.
Алгоритм нетрудно нарисовать. Прикладываю рисунок.
Приложения:

Аноним:
спасибо, я тоже почти так и составляю а вот ума не хватает блок схему нарисовать
Вас заинтересует
2 года назад
2 года назад
2 года назад
2 года назад
7 лет назад
7 лет назад
9 лет назад