• Предмет: Алгебра
  • Автор: alextopchyan
  • Вопрос задан 3 года назад

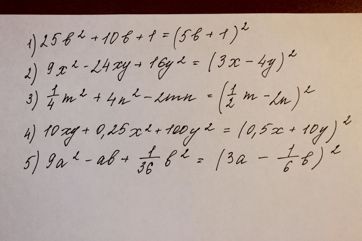
Представте в виде квадрата двучлена:

1) 25b^+10b+1
2) 9x^-24xy+16y^
3) 1/4m^+4n^-2mn
4) 10xy+025x^+100y^
5) 9a^-ab+1/36b^

Решите все прошу ваас! Посчитаю лучшим и поблагодарю!Спасибо!

Ответы

Ответ дал: KatyaTiger
1
решение на фотографии
Приложения:

alextopchyan: Огромное Спасибо!!!!!
alextopchyan: Извините а можно обьяснить как вы это сделали?
KatyaTiger: Да,конечно, щас напишу
KatyaTiger: Во всех примерах используется одна и та же формула сокращенного умножения (a+b)^2=a^2+2ab+b^2. Ну и точно такая же, только с минусом (a-b)^2=a^2-2ab+b^2. Я думаю тебе не понятны 3,4,5 примеры. просто ты там меняешь последовательность и у тебя приходит все к стандартному виду.
Вас заинтересует