Ответы
Ответ дал:
1
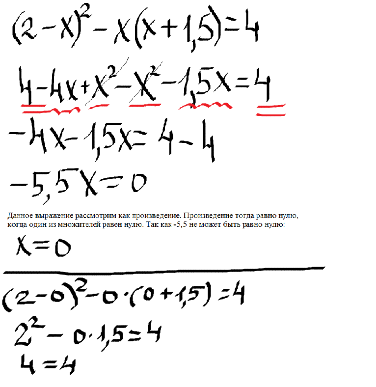
4-4x+x^2-x^2-1,5x=4
4-5,5x=4
x=0
4-5,5x=4
x=0
Ответ дал:
6
Решение в файлике. Там же проверка решения.
Darknight (Sunny Storm)
Darknight (Sunny Storm)
Приложения:

Вас заинтересует
2 года назад
2 года назад
2 года назад
7 лет назад
7 лет назад
9 лет назад