• Предмет: Алгебра
  • Автор: zhirkvjur
  • Вопрос задан 3 года назад

помогите с логарифмами
решить систему уравнений:

Приложения:

Ответы

Ответ дал: Аноним
1
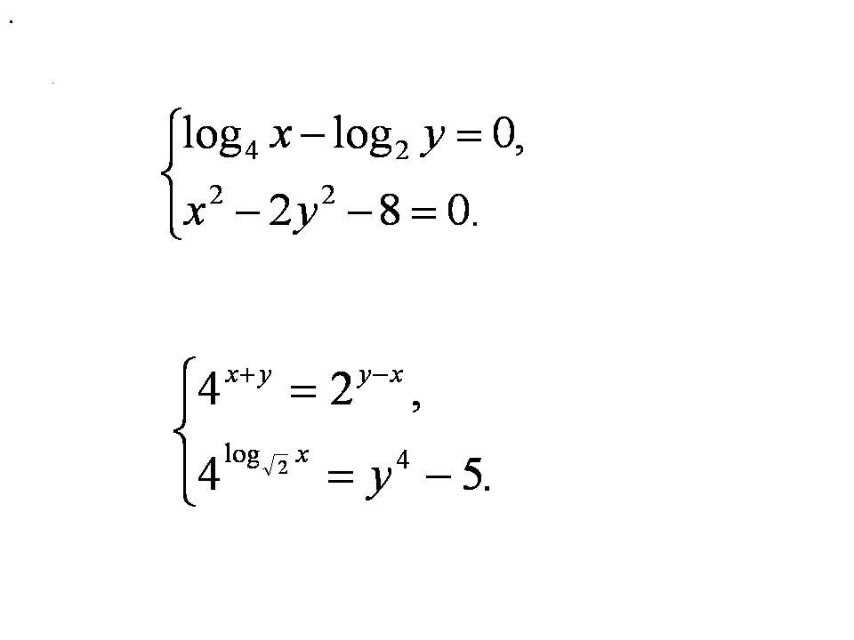
 \left \{ {{\log_4x-\log_2y=0} \atop {x^2-2y^2-8=0}} \right.
ОДЗ: x>0, y>0
Воспользуемся формулами перехода к новому основанию
\log_ab= \frac{\log_cb}{\log_ca}
 \left \{ {{ \frac{\log_2x}{\log_24}-\log_2y=0 } \atop {x^2-2y^2-8=0}} \right. \Leftrightarrow \,\, \left \{ {{\log_2 \sqrt{x} =\log_2y} \atop {x^2-2y^2-8=0}} \Leftrightarrow \,\, \left \{ {{y= \sqrt{x} } \atop {x^2-2( \sqrt{x} )^2-8=0}} \right. \right.  \\ x^2-2x-8=0
Сделать нужно еще что x≥0
по т. Виета корни уравнения будут
x_1=-2 - не удовлетворяет условие при t≥0
x_2=4 \\ y=2

Ответ: (4;2)

 \left \{ {{4^{x+y}=2^{y-x}} \atop {4^{\log_{ \sqrt{2} }x}=y^4-5} \right. \Leftrightarrow \,\, \left \{ {{2^{2x+2y}=2^{y-x}} \atop {(2^2)^{\log_ \sqrt{2} }x}=y^4-5}} \right. \Leftrightarrow \left \{ {{2x+2y=y-x} \atop {x^4=y^4-5}} \right. \Leftrightarrow \\  \\ \Leftrightarrow \left \{ {{3x+y=0} \atop {x^4-y^4+5=0}} \right. \Leftrightarrow \left \{ {{y=-3x} \atop {x^4-(-3x)^4+5=0}} \right.  \\ x^4-81x^4+5=0 \\ -80x^4+5=0 \\ x^4= \frac{1}{16}  \\ x= \frac{1}{2}  \\ y=- \frac{3}{2}

Ответ: ( \frac{1}{2} ;- \frac{3}{2} )
Вас заинтересует