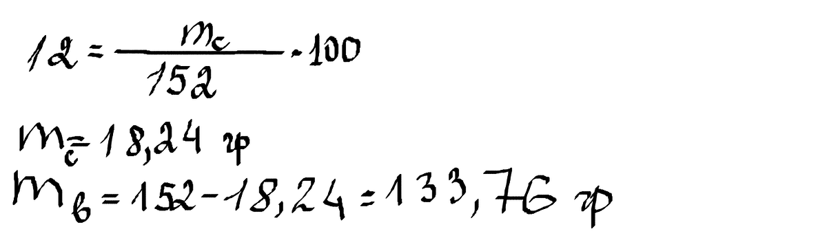
приготовили 152г раствора сульфата меди с массовой долей 12%. рассчитайте массу соли и массу воды, которая необходима для приготовления раствора.
Ответы
Ответ дал:
0
по-моему решается вот так...........................
Приложения:

Вас заинтересует
2 года назад
2 года назад
2 года назад
2 года назад
7 лет назад
7 лет назад