• Предмет: Алгебра
  • Автор: anton217
  • Вопрос задан 3 года назад

Ребятаа, нужна ваша помощь!


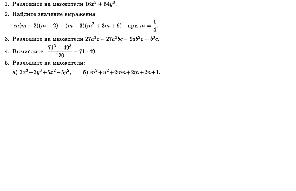
номер 4

Приложения:

Ответы

Ответ дал: mymurkin
11
71^3+49^3/120-71*49=(71+49)(71^2-71*49+49^2)/120-71*49=71^2-71*49+49^2-71*49=71^2-2*71*49+49^2=(71-49)^2=22^2=484
Вас заинтересует