• Предмет: Математика
  • Автор: lina1612
  • Вопрос задан 3 года назад

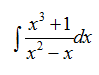
помогите с интегралом пожалуйста!!!

Приложения:

Ответы

Ответ дал: red321
1
\int\frac{x^3+1}{x^2-x}dx=\int\frac{(x^2-x)(x+1)+x+1}{x^2-x}dx=\int(x+1+\frac{x+1}{x^2-x})dx=\\=\int xdx+\int1dx+\int\frac{x+1}{x^2-x}dx=\\\\=[\frac{x+1}{x^2-x}=\frac{x+1}{x(x-1)}=\frac{A}{x}+\frac{B}{x-1}=\\=\frac{A(x-1)+Bx}{x(x-1)}\Rightarrow x+1=A(x-1)+Bx\\x=1:\ \ \ \ \ 1+1=A*0+B\Rightarrow B=2\\x=0:\ \ \ \ \ 0+1=A(0-1)+B*0\Rightarrow A=-1\\\frac{x+1}{x^2-x}=-\frac{1}{x}+\frac{2}{x-1}]=\\\\=\int xdx+\int1dx+\int( -\frac{1}{x}+\frac{2}{x-1})dx=\\=\frac{x^2}{2}+x-ln|x|+2ln|x-1|+C
Вас заинтересует