Ответы
Ответ дал:
1
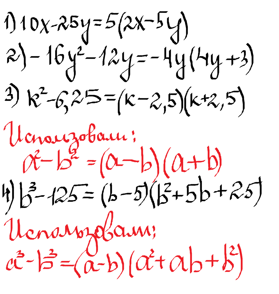
Решение в файлике. Третье и четвёртое по формулам сокращённого умножения. В первом и втором просто общий множитель выносим за скобку.
Удачи в решениях!
Darknight (Sunny Storm)
Удачи в решениях!
Darknight (Sunny Storm)
Приложения:

justo:
Спасибо!
Вас заинтересует
2 года назад
2 года назад
2 года назад
7 лет назад
7 лет назад
9 лет назад
9 лет назад