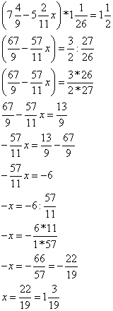
решите задачу : федя задумал число 815 которого равны 32 целых 45.Какое число задумал Федя? и еще решите уравнение : ( 7 целых 49 - 5 целых 211 х) * 1 целую 126 = 1 целая 12. ПОЖАЛУЙСТА ПОМОГИТЕ!!
Ответы
Ответ дал:
0
32 цел4/5=32,8 ,значит
32,8:8*15=61,5 задуманное число или 61 цел 1/2
======================
уравнение добавлю позже
Приложения:

Вас заинтересует
2 года назад
8 лет назад
8 лет назад
10 лет назад
10 лет назад
10 лет назад