• Предмет: Алгебра
  • Автор: kolia23345634643
  • Вопрос задан 3 года назад

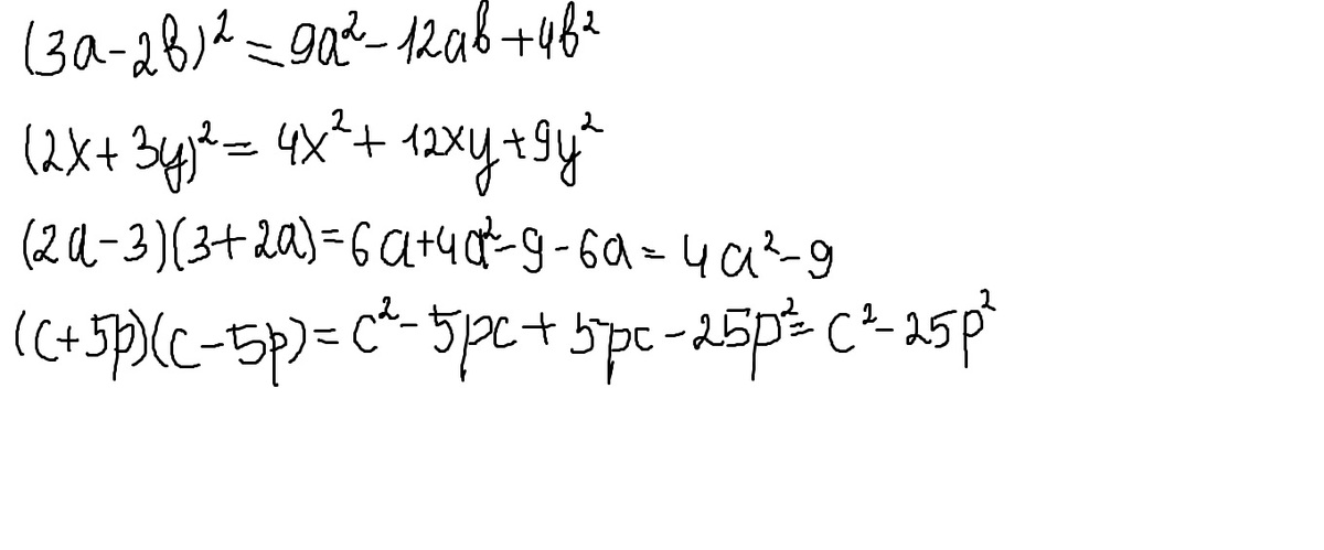
(3a-2b)^2 (2x+3y)^2 (2a-3)(3+2a) (c+5p)(c-5p)



преобразуйте выражение


kolia23345634643: (3a-2b)^2
kolia23345634643: (2x+3y)^2

Ответы

Ответ дал: Pelageya
3
Решения и ответы прикреплены.
Приложения:
Вас заинтересует