Ответы
Ответ дал:
0
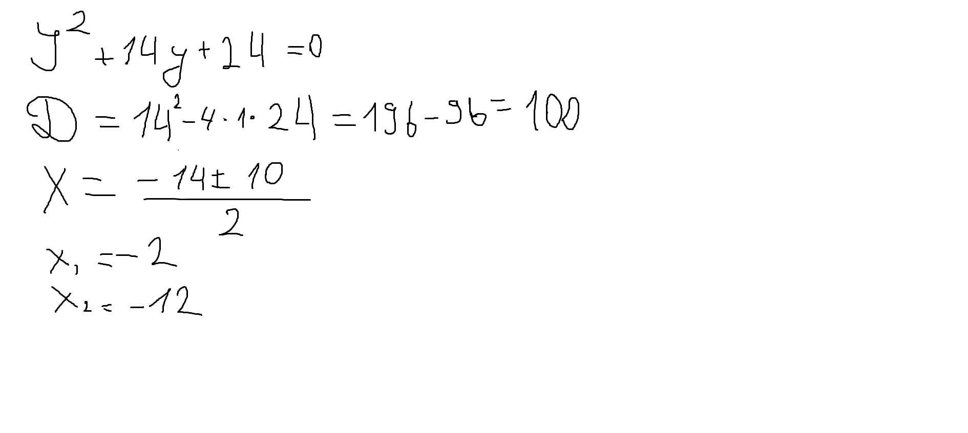
Вот написал думаю правильно ну это надо решать через Д или через Д1
Приложения:

Вас заинтересует
2 года назад
2 года назад
8 лет назад
10 лет назад
10 лет назад
10 лет назад
10 лет назад