• Предмет: Геометрия
  • Автор: Аноним
  • Вопрос задан 3 года назад

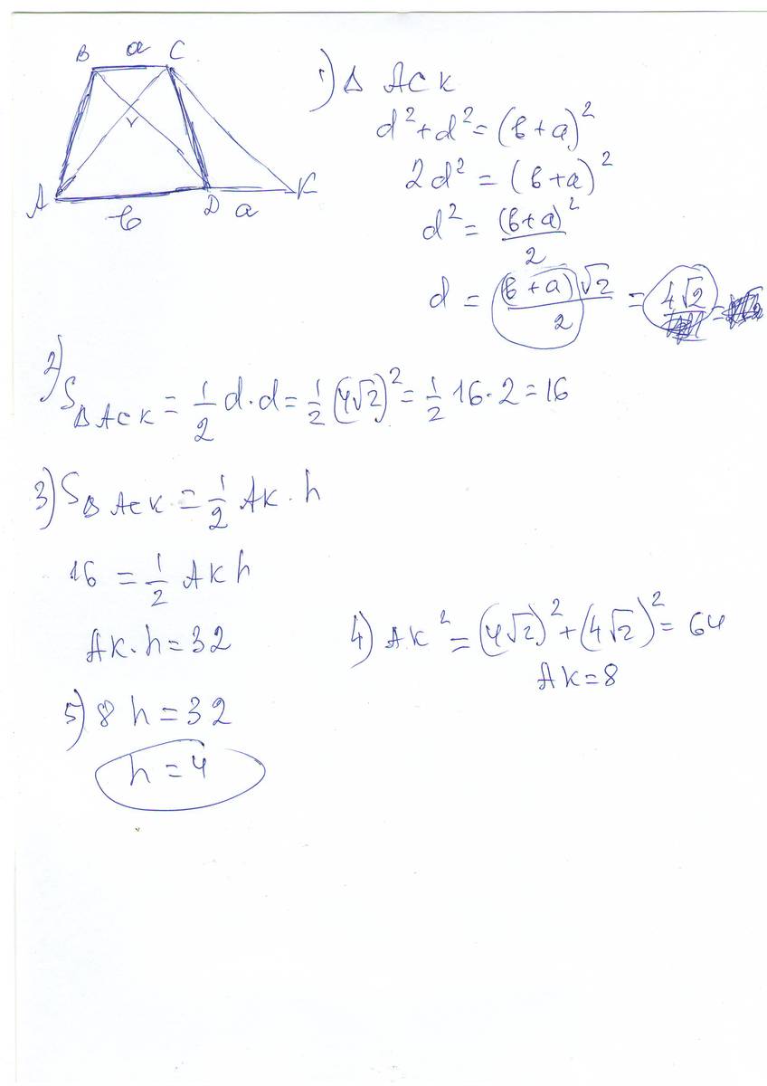
в равнобочной трапеции диагонали взаимно перпендикулярны а средняя линия равна 4 см. найдите высоту трапеции

Ответы

Ответ дал: Аноним
2
Решение в приложении
Приложения:

Аноним: чуть позже, ты есть в контакте?
Аноним: нет
Аноним: Можно зайти в мой профиль
Аноним: в сообщения? там нельзя скидывать фото
Аноним: в прямоугольном треугольнике авс проведена медиана сд длина которой 2,5 см найдите перимент треугольника если один из катетов на 1 см меньше гипотенузы
Аноним: в параллелограмме сторона и большая диагональ равны соответственно 3 и корень 37 найдите периметр параллелограмма если его острый угол равен 60ъ
Аноним: Про прямоуг.тр-к.Тут такая штука. Точка D - это центр описанной окружности. CD = AD=DB=2,5. Значит гипотенуза = 5, катет на 1 меньше, значит, он =4. Треугольник получается египетский( стороны у него 3,4,5) Р=12
Аноним: Про пар-мм.АВ =3,АС= корень из37, угол В =120. Р-?Проведём высоту ВМ и высоту СN. Смотрим тр-к АВМ. гипотенуза = 3, катет=1,5(против угла 30)Ищем ВМ ( по т.Пифагора) ВМ = 3корня из3/2. Теперь тр-к АСNГипотенуза корень из 37, катет СN= 3корня из3/2. Ищем АN. Потом можно найти сторону АD, а потом периметр.
Аноним: а там не по теореме косинусов?
Аноним: вообщем ответь в сообщения, здесь неудобно
Вас заинтересует