• Предмет: Алгебра
  • Автор: harlotka
  • Вопрос задан 3 года назад

Помогите решить неопределенный интеграл

Приложения:

Ответы

Ответ дал: ShirokovP
1
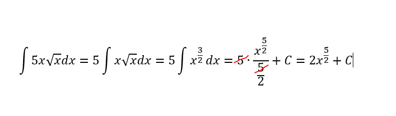
Решение внутри
----------------------------------
Приложения:
Вас заинтересует