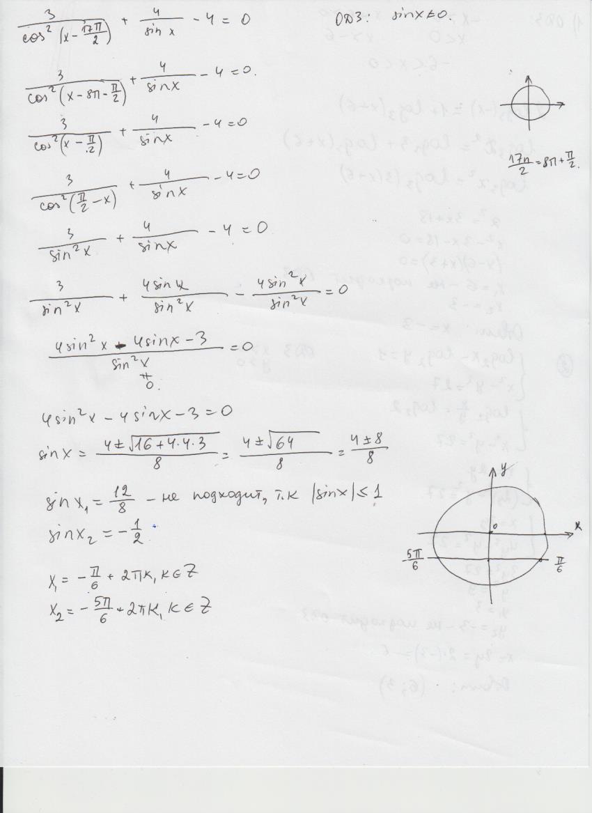
1.Решите уравнение
3/(cos^2(x-17П/2)) +4/sinx - 4 = 0
2.Укажите корни, принадлежащие отрезку [-7п/2; -2п]
Ответы
Ответ дал:
22
В общем-то вот так, наверное))
Приложения:

Вас заинтересует
2 года назад
2 года назад
2 года назад
7 лет назад
7 лет назад
9 лет назад