Ответы
Ответ дал:
0
Решение во вложении.Надеюсь помогла)
Приложения:

Ответ дал:
0
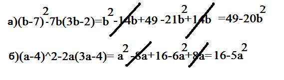
а) (b-7)^2-7b(3b-2)= b^2-14b+49-21b^2+14b=-20b^2+49
b)(a-4)^2-2a(3a-4)=a^2-8a+16-6a^2+8a=-5a^2+16
Приложения:

Вас заинтересует
8 лет назад
8 лет назад
10 лет назад
10 лет назад