Ответы
Ответ дал:
1
основное свойство геом.прогрес.
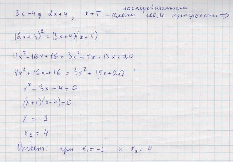
а, в, с -члены геом, прогрес.
b²=a*c⇒
(2x+4)²=(3x+4)(x+5)
4x²²+16x+16=3x²+15x+4x+20
x²-3x-4=0
x=4
x=-1
а, в, с -члены геом, прогрес.
b²=a*c⇒
(2x+4)²=(3x+4)(x+5)
4x²²+16x+16=3x²+15x+4x+20
x²-3x-4=0
x=4
x=-1
vikvay:
спасибо
Ответ дал:
1
решение в приложении:
Приложения:

Вас заинтересует
2 года назад
2 года назад
7 лет назад
9 лет назад
9 лет назад