• Предмет: Информатика
  • Автор: Анастасия2012дек
  • Вопрос задан 11 лет назад

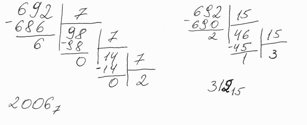
перевести числа из 10-й системы счисления в 7-ую ,15-ую системы счисления число 692, и расписать  как делать в столбик

Ответы

Ответ дал: denisov7
0

692_{10}=312_{15}

692_{10}=2006_{7}

[tex]692_{10}=312_{15}" />

 

смотри вложение

 

 

Приложения:
Вас заинтересует