• Предмет: Алгебра
  • Автор: Marisabel10061999
  • Вопрос задан 3 года назад

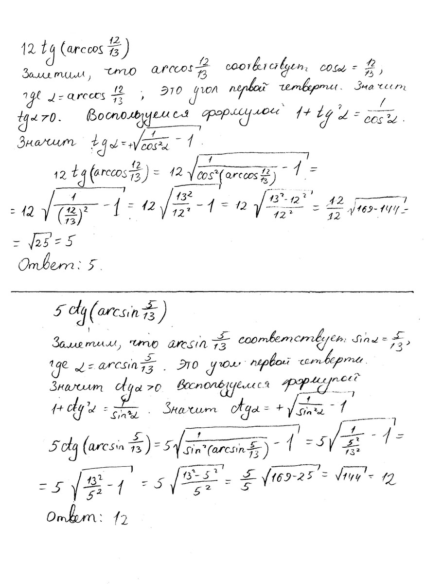
вычислите тригонометрия

Приложения:

Ответы

Ответ дал: bearcab
0
Решение во вложении. Должно быть понятно
Приложения:
Вас заинтересует