• Предмет: Математика
  • Автор: MrNauryzbai
  • Вопрос задан 3 года назад

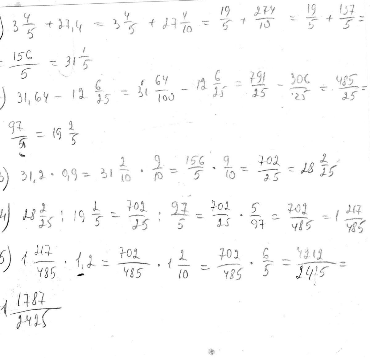
(3 4/5+27.4)*0.9:(31.64-12 6/25)*1.2

Пожалуйста решите по действиям

Ответы

Ответ дал: Nastya171167
1
смотри решение во вложении

Приложения:
Вас заинтересует