• Предмет: Математика
  • Автор: maria140426
  • Вопрос задан 3 года назад

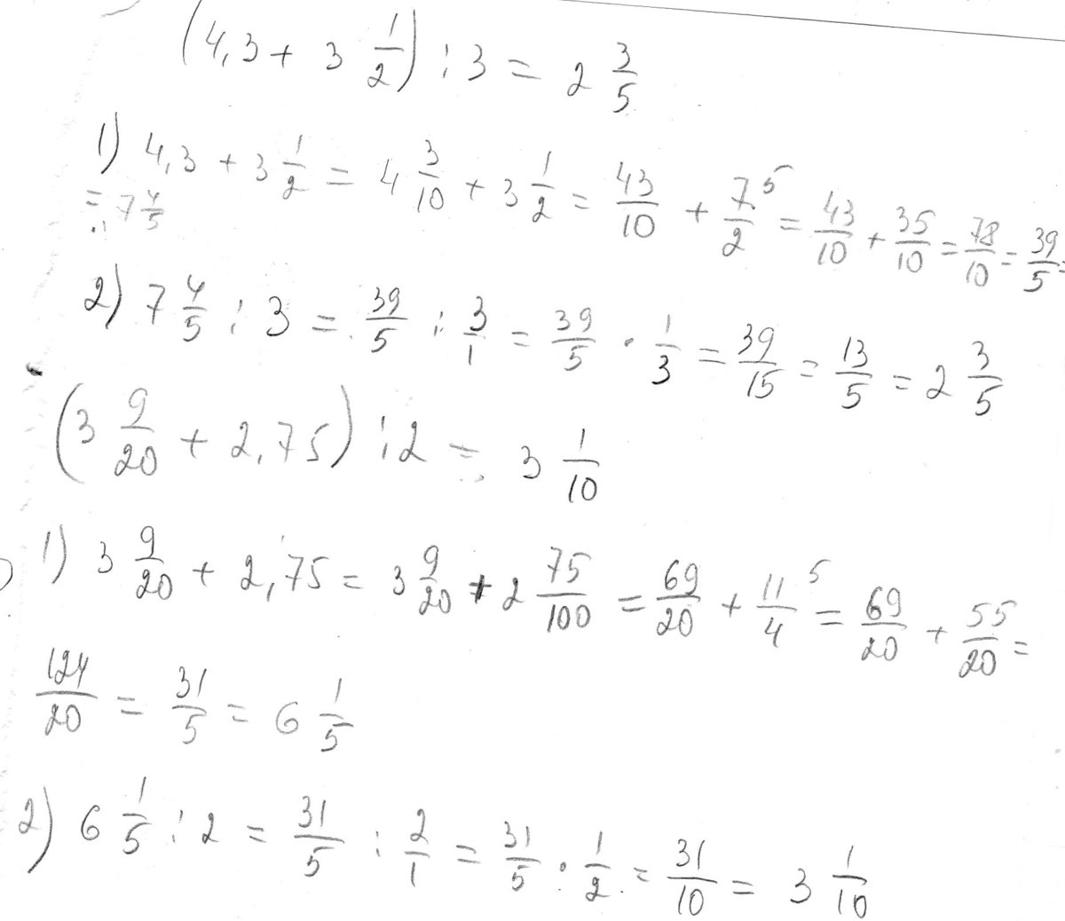
помогите как решить! (4,3+три целых ода вторая):3=пример нужно тянуть
второй тоже

Приложения:

Ответы

Ответ дал: ivanenko18945
1
4,3+3 1/2=4,3+3,5=7,8
Ответ дал: Nastya171167
0
смотри решение во вложении
Приложения:
Вас заинтересует