• Предмет: Математика
  • Автор: agishevaalena2
  • Вопрос задан 3 года назад

Пожалуйста, помогите решить.

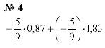
Приложения:

Ответы

Ответ дал: aleksandrubeev
1
1) -0.56*0.87=-0.49
2) -0.56*1.83=-1.51
3) -0.49+(-1.02)=-1.51

agishevaalena2: от куда -0.56?
aleksandrubeev: -5/9=-0.56
agishevaalena2: но если делить 5 на 9, то невозможно поделить, ведь там всегда будет повторяться 50
aleksandrubeev: приближенноое значение -0.56 так как чтоб умножить дробь на дробь нужно перевести ту или иную дробь в обратную
agishevaalena2: ааа. все теперь понятно. спасибо огромное
aleksandrubeev: не за что
agishevaalena2: а во 2 действии, разве не 1,0248 получается?
aleksandrubeev: ох ссори точно перепутал там получится -1.02
agishevaalena2: ладно. еще раз спасибо :3
aleksandrubeev: не за что
Вас заинтересует