Помогите!!!!!!!!!!!!!!!!!!
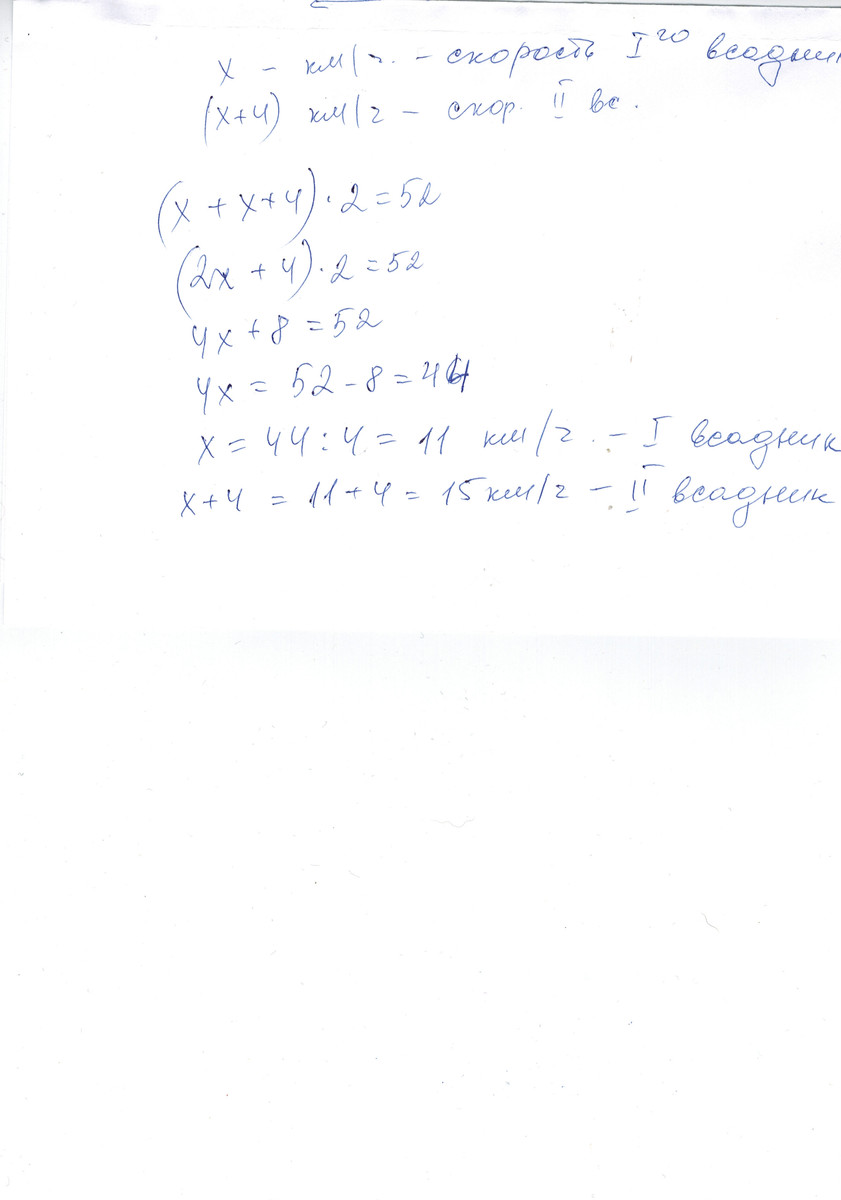
Из одного пункта одновременно в противоположные направлениях выехали два всадника. Через 2 часа расстояние между ними стало 52 км. Какова скорость второго всадника если известно, что он проехал в час на 4 км больше чем первый?
Ответы
Ответ дал:
3
как-то так, скорость второго всадника должна быть 15 км/ч
Приложения:

Вас заинтересует
2 года назад
2 года назад
2 года назад