• Предмет: Геометрия
  • Автор: Layk
  • Вопрос задан 11 лет назад

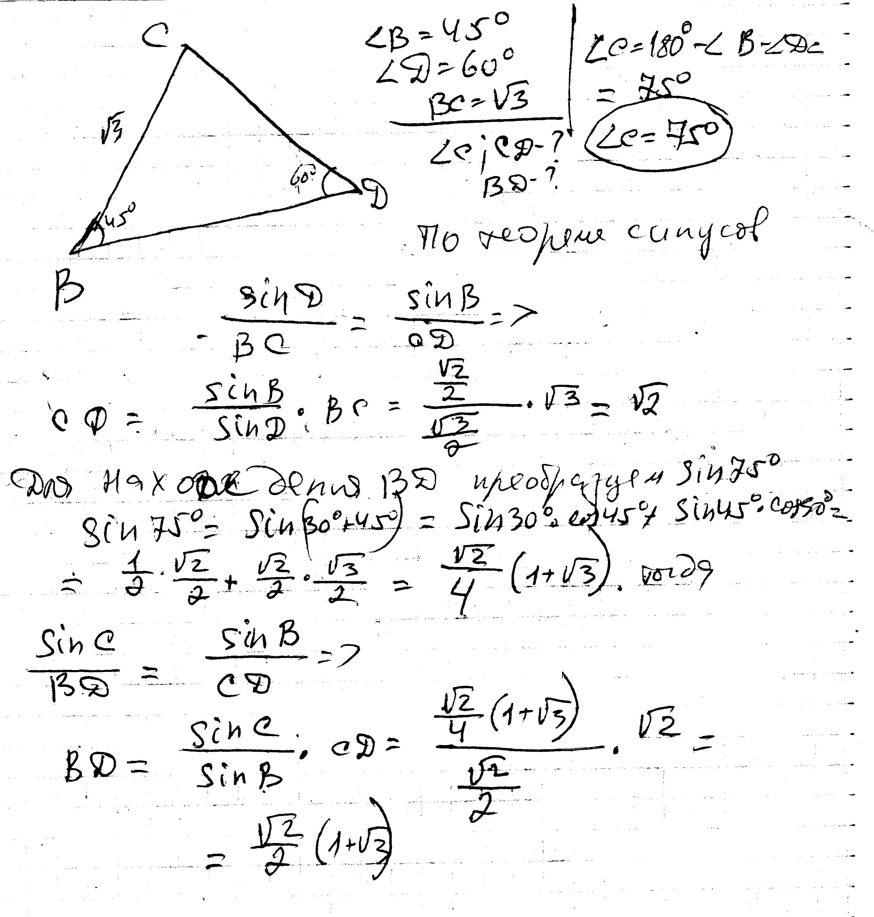
Решить Треугольник BCD угол В= 45 градусов угол D= 60 градусов BC= корень из 3

Ответы

Ответ дал: ужнеужели
0
решение в скане........................
Приложения:
Вас заинтересует