206 баллов даю решите умоляююююююююююююююююююю
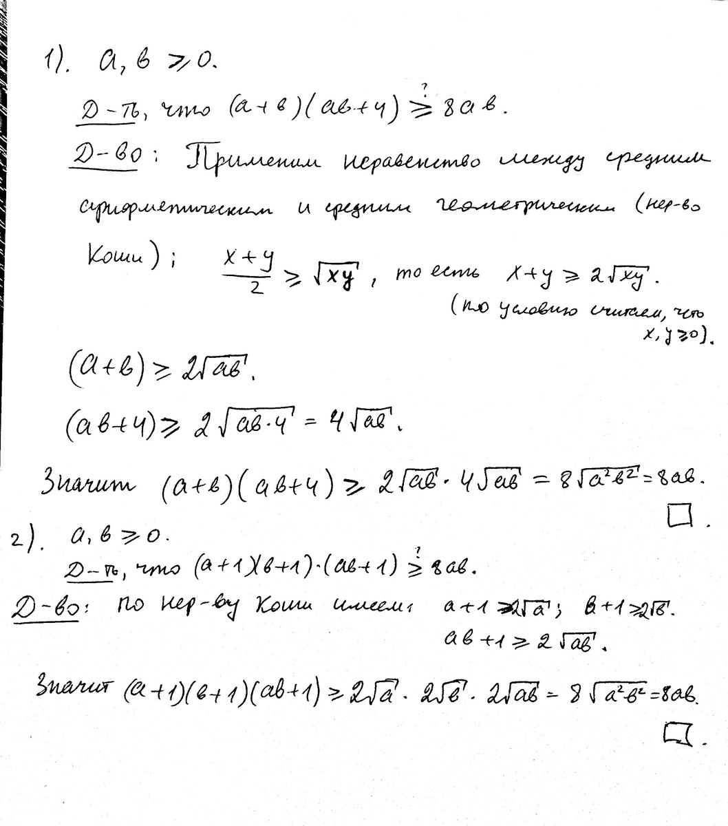
1)Докажите,что при "a","b"- больше или равно 0, имеем ( a+b)( ab+4) больше или равно 8ab
2)Докажите что при "a,b" > или = 0, имеем (a+1)(b+1)(ab+1)> или = 8ab
ayka200:
Турист из А в В прошнл пешком за 4 часа , из В в С на автобусе за 15 мин. Возвращался из С в В пешком , а из В в А на автобусе. Докажите что время ,затраченное туристом на обратный путь не меньше двух часов.
Ответы
Ответ дал:
1
Решение во вложениях. Удачи)
Приложения:

Вас заинтересует
2 года назад
2 года назад
2 года назад
7 лет назад
7 лет назад
9 лет назад