• Предмет: Алгебра
  • Автор: edlokotenko99
  • Вопрос задан 2 года назад

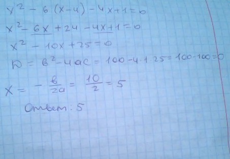
Решите уравнение х^2-6(х-4)-4х+1=0

Ответы

Ответ дал: HelenT
3
Сначала раскрываем скобки, потом приводим подобные слагаемые, у нас получается квадратное уравнение, находим дискриминант, он равен нулю, значит, один корень, находим корень по формуле.
Приложения:

edlokotenko99: Спасибо тебе !
Вас заинтересует