• Предмет: Алгебра
  • Автор: Sparbekova
  • Вопрос задан 11 лет назад

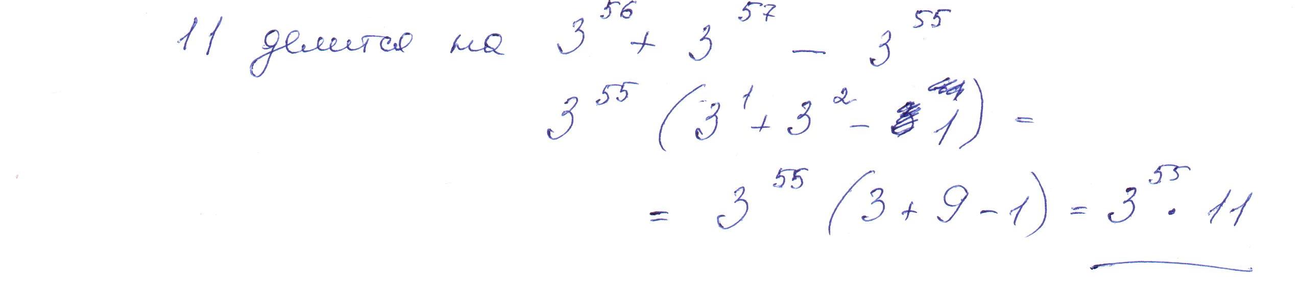
нужно доказать что 11 делится на (3 степень 56) + 3 степень 57)- (3 степень 55)

Ответы

Ответ дал: ALopatina
0

Скорее наоборот. Доказать, что данное выражение делится на 11. Иначе никак.

Приложения:
Вас заинтересует