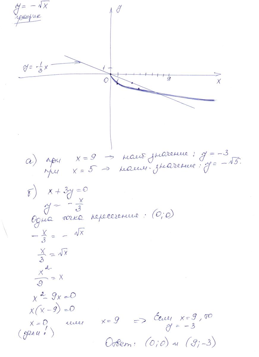
Постройте график функции y= -√x . Найдите :
а. наибольшее и наименьшее значения этой функции на отрезке [5; 9]
б.координаты точки пересечения графика этой функции с прямой x+3y=0
ПОЖАЛУЙСТА ПОМОГИТЕ
Ответы
Ответ дал:
0
Решение во вложении. График немного кривой. Это должно быть похоже на ветвь параболы)
Приложения:

Вас заинтересует
2 года назад
2 года назад
8 лет назад
10 лет назад
10 лет назад