определить массу соли в которую следует добавить к 300 г раствора с массовой долей 10% для получения 20% раствора
Ответы
Ответ дал:
0
Решение в файле.
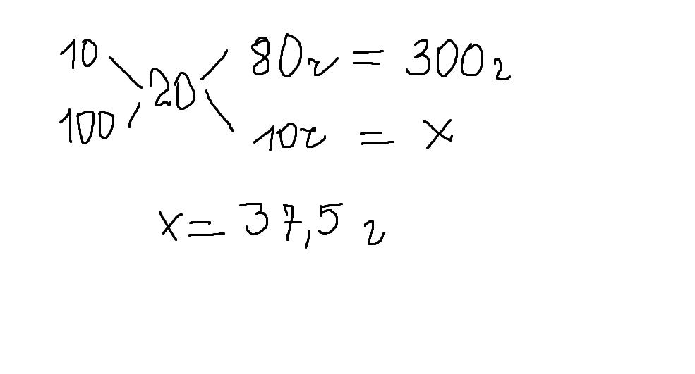
задача решается через конверт Пирсона.
2 вариант решения.
m (H2O) = m (раствора)·ω(H2O) = 300·(1-0.1) = 270 г
В 20 % растворе массовая доля воды соответсвенно 80 %, тогда масса нового раствора:
m2(раствора) = m(H2O)/ω(H2O) = 270/0.8 = 337.5 u
m (соли) = 337,5-300 = 37,5 г
задача решается через конверт Пирсона.
2 вариант решения.
m (H2O) = m (раствора)·ω(H2O) = 300·(1-0.1) = 270 г
В 20 % растворе массовая доля воды соответсвенно 80 %, тогда масса нового раствора:
m2(раствора) = m(H2O)/ω(H2O) = 270/0.8 = 337.5 u
m (соли) = 337,5-300 = 37,5 г
Приложения:

Denka24:
Мы не проходили конверт Пирсона, может знаешь решение полегче или уровня 8-9 класса?
Вас заинтересует
2 года назад
2 года назад
2 года назад
7 лет назад
7 лет назад