• Предмет: Алгебра
  • Автор: Mary230999
  • Вопрос задан 3 года назад

Вычислите
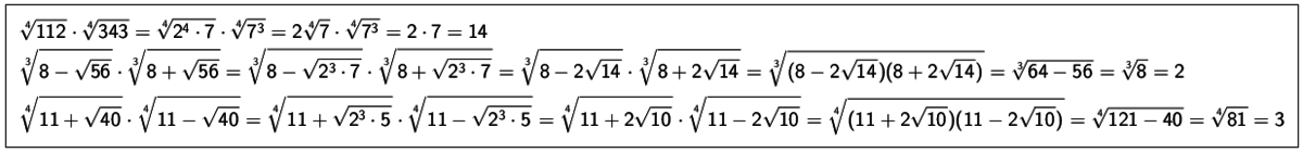
 \sqrt[4]{112} * \sqrt[4]{343}  \\  \sqrt[3]{8- \sqrt{56} } * \sqrt[3]{8+\sqrt{56} } \\  \sqrt[4]{11+ \sqrt{40} } * \sqrt[4]{11- \sqrt{40} }


SkyBy: Используйте LaTeX редактор.
Mary230999: Как раз таки и хотел его, но когда задавал вопрос, окошко с ним не выскочило

Ответы

Ответ дал: sava991101
2
 \sqrt[4]{112} * \sqrt[4]{343} =\sqrt[4]{16*7} * \sqrt[4]{49*7} =\sqrt[4]{16*7*49*7} =\sqrt[4]{ 2^{4} * 7^{4} } =\sqrt[4]{ (2*7)^{4}} =\sqrt[4]{ (14)^{4}} =14

 \sqrt[3]{8- \sqrt{56} } *\sqrt[3]{8+\sqrt{56} } = \sqrt[3]{(8- \sqrt{56})(8+\sqrt{56}) } = \sqrt[3]{(64-56) } = \sqrt[3]{8} = \sqrt[3]{ 2^{3} } =2

 \sqrt[4]{11+ \sqrt{40} } * \sqrt[4]{11- \sqrt{40} } = \sqrt[4]{(11+ \sqrt{40})(11- \sqrt{40}) } =\sqrt[4]{(121-40) } ==\sqrt[4]{(81) } = \sqrt[4]{ 3^{4} } =3
Ответ дал: SkyBy
2
Смотрите решение в прикреплённом файле.
Приложения:
Вас заинтересует