Ответы
Ответ дал:
1
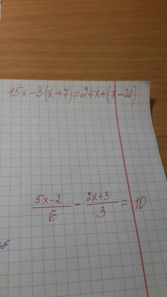
1)15х-3*(х+7)=24х+(х-20)
15х-3х-21=24х+х-20
12х-21=25х-20
12х-25х=-20+21
-13х=1
х=-1\13
2)(5х-2)\6 - (2х+3)\3=10
5х-2-2*(2х+3)\6=10
5х-2-4х-6\6=10
х-8\6=60
х-8=10*6
х-8=60
х=60+8
х=68
15х-3х-21=24х+х-20
12х-21=25х-20
12х-25х=-20+21
-13х=1
х=-1\13
2)(5х-2)\6 - (2х+3)\3=10
5х-2-2*(2х+3)\6=10
5х-2-4х-6\6=10
х-8\6=60
х-8=10*6
х-8=60
х=60+8
х=68
Вас заинтересует
2 года назад
2 года назад
2 года назад
2 года назад
7 лет назад
7 лет назад
9 лет назад