( 6а+1 + 6а-1 )* а^4-35a^2-36 =
(а^2-6а а^2+6а ) a^4+2a^2+1
Решить пожалуста))надеюсь поймете,что я написала))очень надо буду очень благодарна))*там где две скобки с одной стороны,это типо одна большая)
Ответы
сейчас приложу файл с решением, подождите минут 10. Тогда будет 2 картинки. По действиям пример решаем, каждое действие будет в каждой картинке. 1 картинка - это первое действие примера. Сейчас будет вторая картинка со вторым действием.
У нас во второй части фигурируют биквадратные трёхчлены. Разложим их по очереди на множители:
a⁴ - 35a² - 36
Пусть a² = t, тогда выходим на квадратный трёхчен и применяем соответствующую формулу:
t² - 35t - 36 = (t - 36 )(t + 1 )
Возвращаясь, получаем:
(a² - 36)(a² + 1) = (a - 6)(a+6)(a²+1)
то же сделаем и со вторым:
a⁴ + 2a² + 1
пусть a² = t, тогда
t² + 2t + 1 = (t+1)²
Возвращаемся к старым переменным и получим требуемое разложение:
(t + 1)² = (a² + 1)²
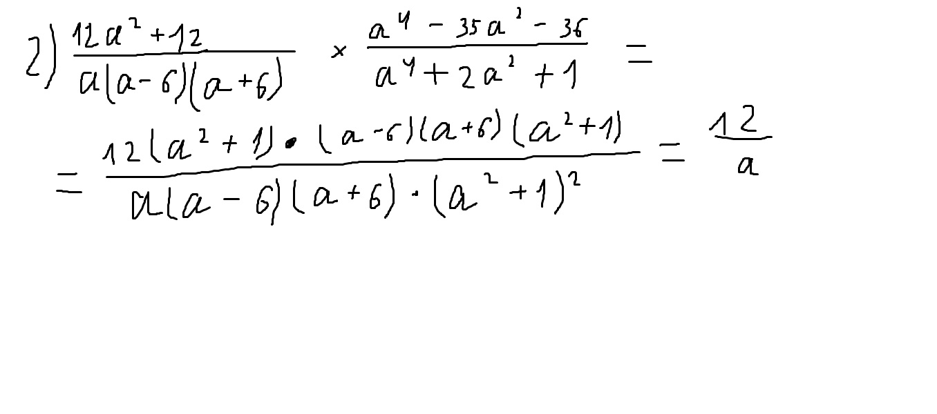
Теперь, подставив вместо этих трёхчленов их разложения, выполним второе действие(рисунок приложу).
Итак, ответ к примеру 12/a

