• Предмет: Алгебра
  • Автор: SuperHuman58
  • Вопрос задан 3 года назад

алгебра
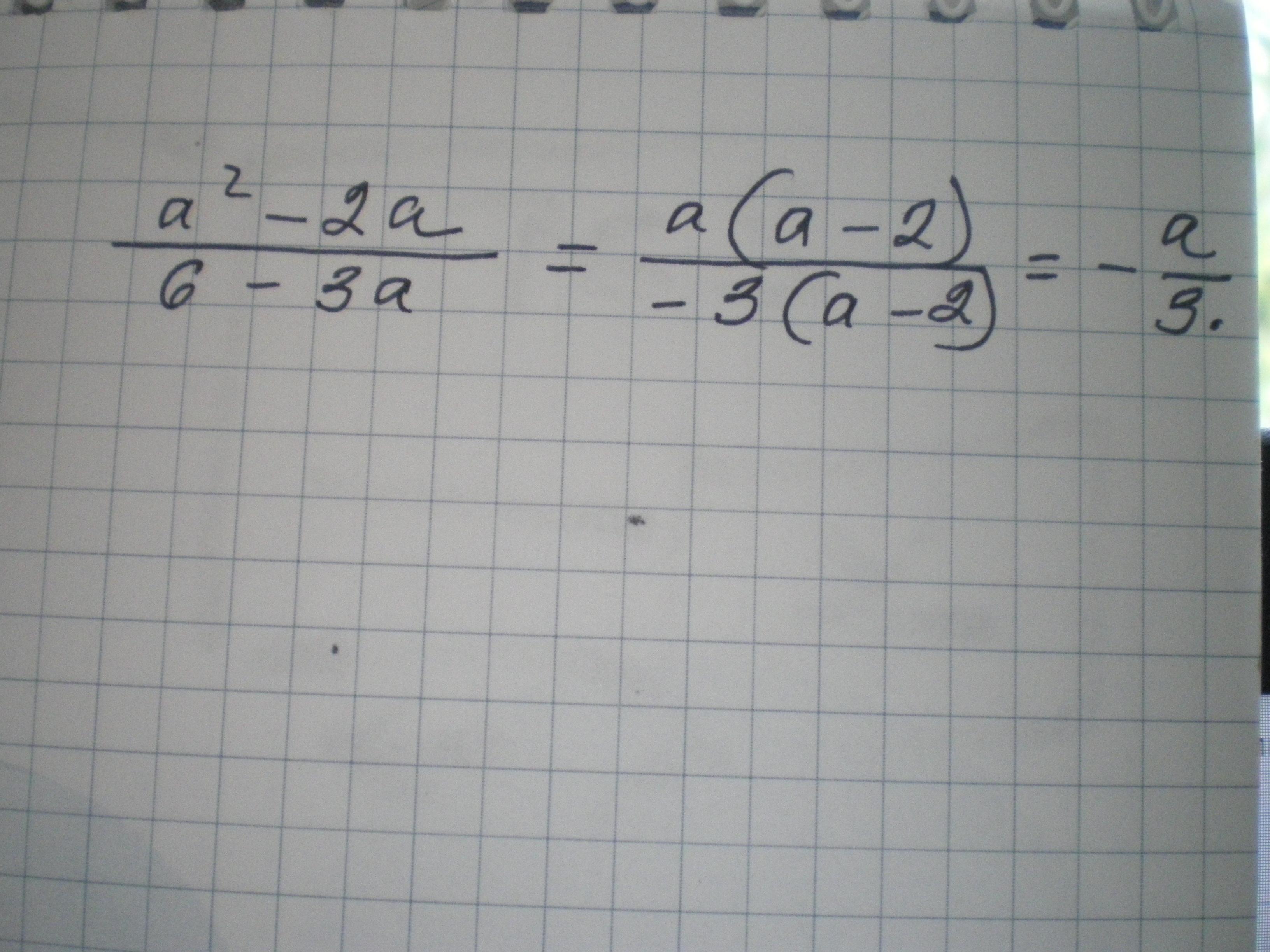
помогите решить а в квадрате минус 2а черта 6минус3а

Ответы

Ответ дал: Пеппер
1

Ответ:

-а/3.

Объяснение:

Приложения:
Вас заинтересует