• Предмет: Алгебра
  • Автор: bannova1979
  • Вопрос задан 3 года назад

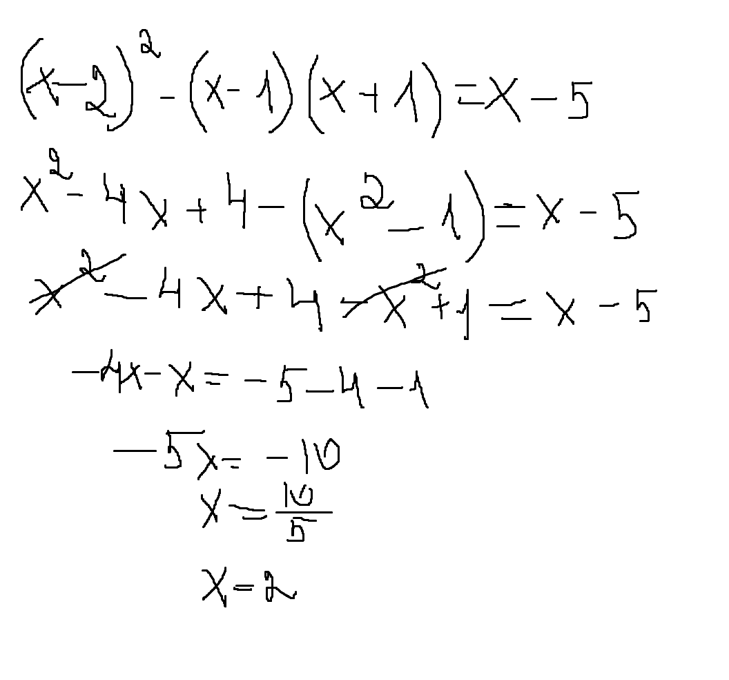
(x-2)^2-(x-1)(x+1)=x-5

Ответы

Ответ дал: Natalya998
1
Лови) Надеюсь поймешь)
Приложения:
Ответ дал: julyap
0
(x-2) ^{2} -(x-1)(x+1)=x-5\\ x^{2} +4-4x-( x^{2} -1)=x-5\\ x^{2} +4-4x- x^{2} +1=x-5\\4-4x+1-x+5=0\\-5x+10=0 \\ -5x=-10\\x=2
Вас заинтересует