• Предмет: Геометрия
  • Автор: leragladskix
  • Вопрос задан 3 года назад

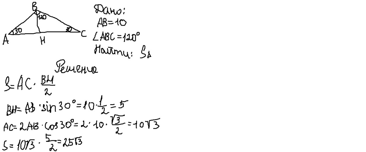
Помогите с задаче ребят : В равнобедренном треугольнике боковая сторона равна 10, а угол ,лежащий напротив основания ,равен 120 градусов . Найдите площадь треугольника

Ответы

Ответ дал: Pelageya
0
Решение и ответ прикреплены.
Приложения:
Вас заинтересует