• Предмет: Математика
  • Автор: tasyacat02
  • Вопрос задан 3 года назад

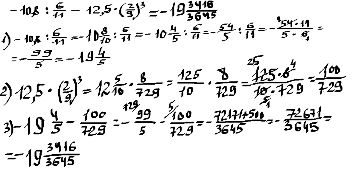
ПОМОГИТЕ ответ должен быть в 6-ом : -20,6 А У МЕНЯ НЕ ПОЛУЧАЕТСЯ ПОМОГИТЕ(6-ой не получается пример!)

Приложения:

SunnyStorm: Даже не -19,94. Если в десятичных, то там бесконечная десятичная дробь.
доминатор: это оккругленное значение
SunnyStorm: А ответ вполне может быть правильным. Скорее в самом примере опечатка.
SunnyStorm: Когда находишь значение выражения не может быть округленного значения. Говорю как математик.
SunnyStorm: Ошибка точно. 19.9371742112482853223593964334705075445816186556927 это уже слишком. А в обыкновенных -72671/3645. Если не вычленять целую часть.
tasyacat02: а можно рассписать ка это получилось
SunnyStorm: После того, как написала тут комментарий, я удалила файл с решением =( Вот бы немного раньше...
tasyacat02: напишите сообщением
tasyacat02: не
tasyacat02: мне

Ответы

Ответ дал: SunnyStorm
1
Решение написала. Того примера, который написан. Кажется, даже поняла где ошибка. Скорее всего там должно быть не 2/9, а 2/5. Тогда, может быть выйдет решение. По крайней мере, должно сократиться.
Приложения:

tasyacat02: СПАСИБО ВАМ ОГРОМНОЕ!!!!!!!!!!!!!!!!
SunnyStorm: Пожалуйста =)
Вас заинтересует