• Предмет: Алгебра
  • Автор: Leonovanatasha
  • Вопрос задан 3 года назад

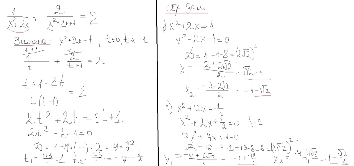
решите уравнение 1/(x^2+2x)+2/(x+1)^2=2 заранее спасибо

Ответы

Ответ дал: leralins
0
вот, извини за почерк ^^
Приложения:
Вас заинтересует