• Предмет: Математика
  • Автор: vavilinayulia02
  • Вопрос задан 3 года назад

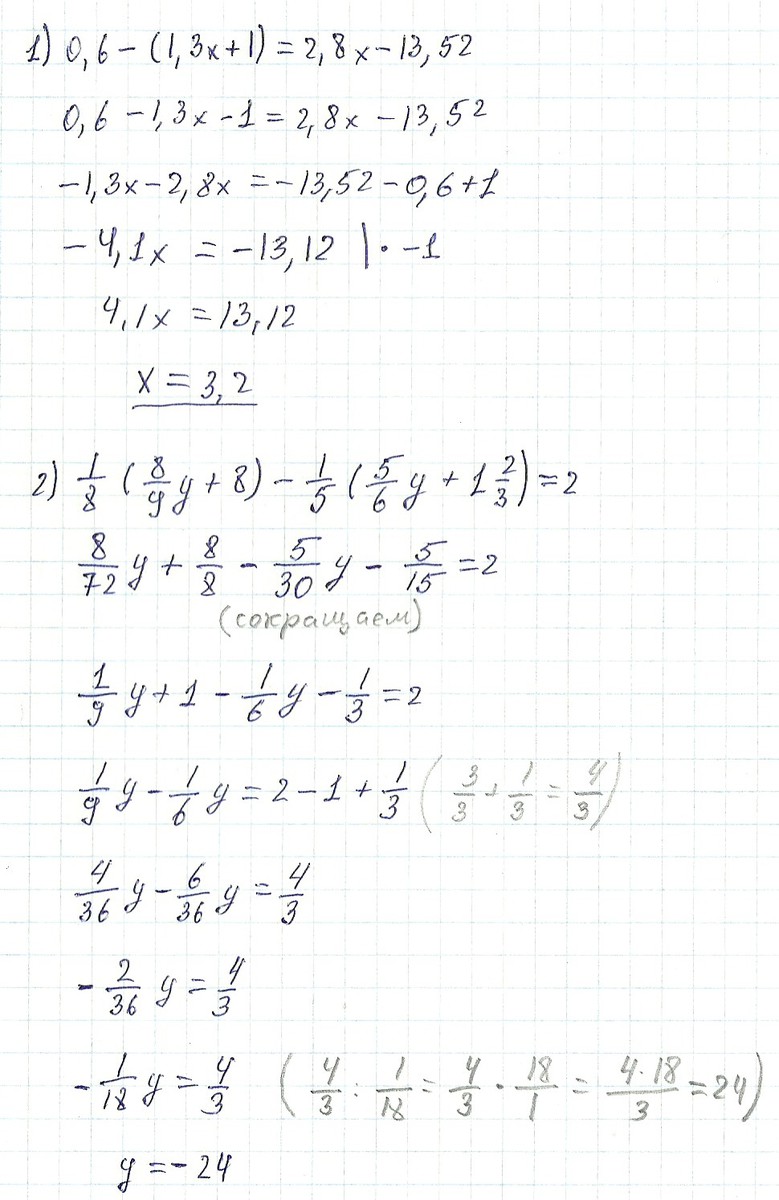
Найдите корень уравнения:
1) 0,6-(1,3х+1)=2,8х-13,52
2) 1/8(8/9y+8)-1/5(5/6y+1 2/3)=2

Ответы

Ответ дал: VirusApiens
5
вот изображение, там всё есть
Приложения:
Вас заинтересует