Ответы
Ответ дал:
2
***********************
Приложения:


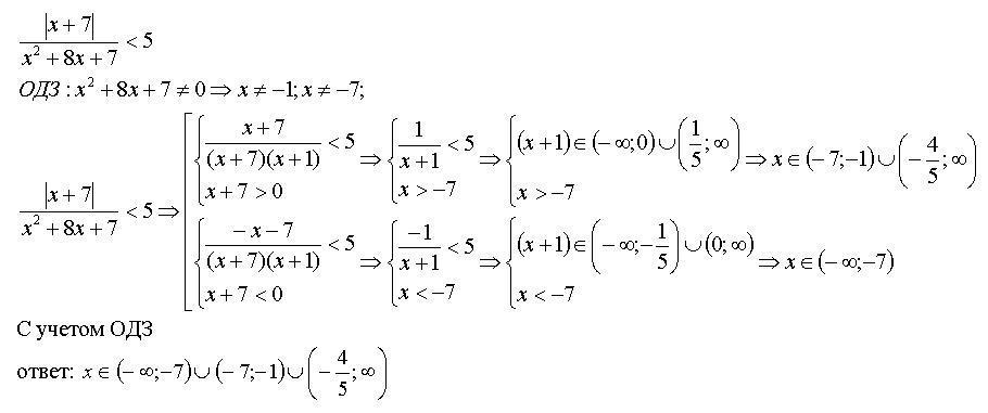
1/х < 5 при х>5 и при x<0
значит
1/(х+1) < 5 при (х+1)>5 и при (х+1)<0
решить равенство 1/(х+1) = 5 и найти корни
корни уравнения и точки где не определено равенство делят числовую ось на интервалы
проверяют выполнение исходного неравенства на этих интервалах
Вас заинтересует
2 года назад
2 года назад
7 лет назад
7 лет назад
9 лет назад